行业研究资讯
撰稿人:超级管理员
阅读量:100
分享:
一、研究背景
糖尿病周围神经病变(DPN)是糖尿病常见并发症,约影响50%的糖尿病患者受累,临床表现为感觉异常、疼痛、足部溃疡等,目前尚无FDA批准的治疗方法。既往研究表明,鱼油中的ω-3多不饱和脂肪酸(EPA与DHA)对糖尿病神经与血管并发症具有改善作用。随着ω-3补充剂广泛应用,其来源可持续性、环境友好性与效果差异成为关注焦点,研究不同来源(如鱼油、磷虾油、藻油、乙酯形式)的ω-3在治疗DPN中的效果差异具有重要意义。
二、研究方法
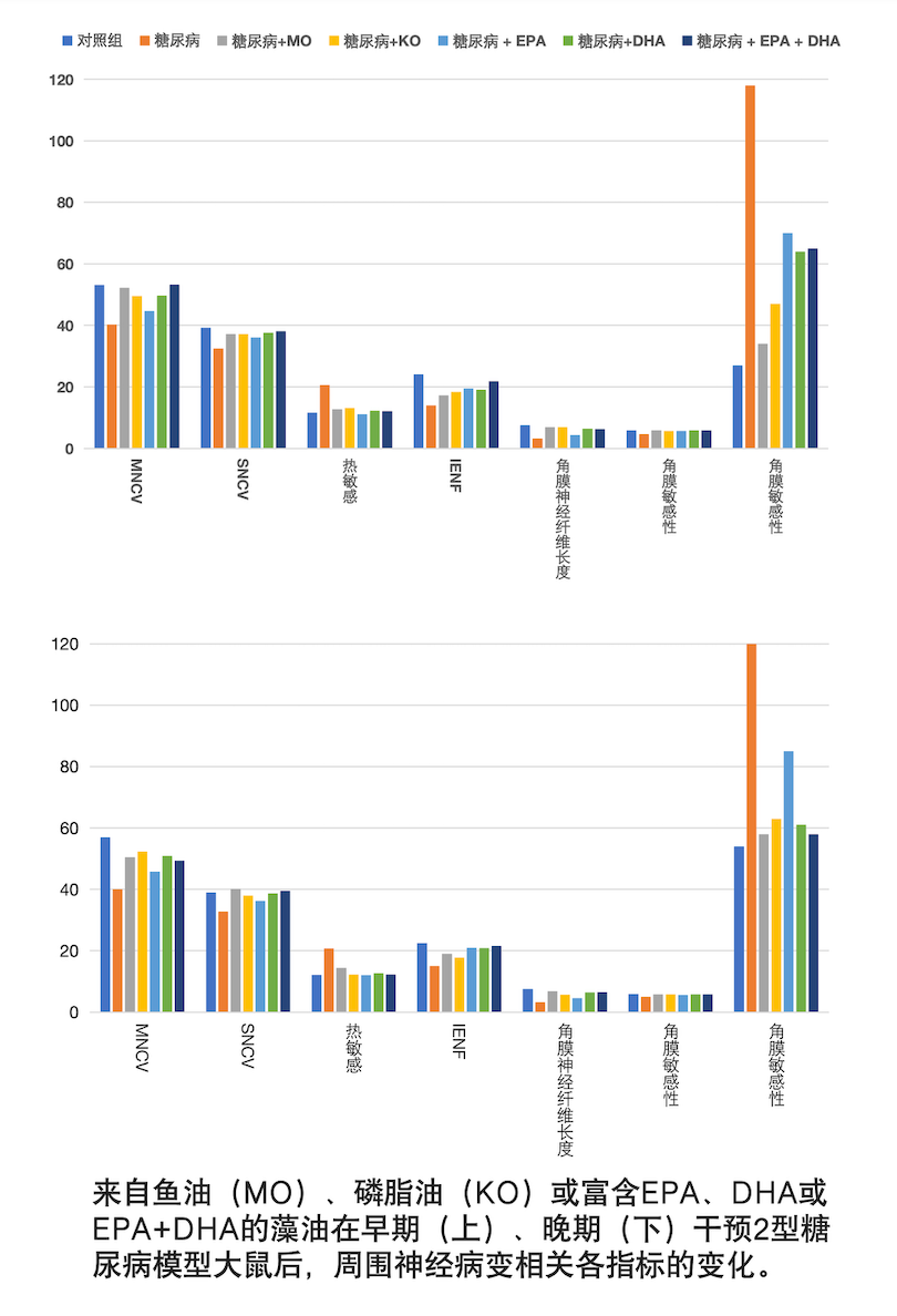
(1)动物模型:使用高脂饮食联合低剂量链脲佐菌素诱导的2型糖尿病大鼠模型。设置了早期(糖尿病后4周)和晚期(糖尿病后10周)干预组,干预持续12周。
(2)干预设计:
不同ω-3来源:鲱鱼油(MO)、磷虾油(KO)、藻油(富含EPA、DHA或二者组合)、乙酯形式(EPA、DHA或二者组合)。
设置早期(糖尿病后4周)与晚期(糖尿病后10周)干预组,干预持续12周。
(3)评估指标:
· 神经功能:运动与感觉神经传导速度、热敏感性、角膜神经纤维长度、皮肤内神经纤维密度等
· 血管功能:乙酰胆碱与CGRP引起的血管舒张反应
· 生化指标:红细胞膜、血清、肝脏中ω-3含量及脂肪酸组成。
(4)研究目的:
· 比较不同来源(鱼油、磷虾油、藻油、乙酯)的ω-3在治疗2型糖尿病周围神经病变中的效果。
· 探究单独使用EPA或DHA与二者组合的疗效差异。
· 评估早期与晚期干预对神经与血管功能的影响。
三、主要结果
(1)ω-3水平提升:
所有ω-3补充剂均能显著提高红细胞膜、血清和肝脏中EPA、DPA和/或DHA水平。
(2)神经功能改善:
鱼油、磷虾油以及EPA+DHA组合对神经功能各项指标均有显著改善;
EPA与DHA组合(无论藻油或乙酯)效果最佳,能显著改善所有神经指标;
单独使用DHA效果接近组合疗法;
单独使用EPA效果最差,尤其是对神经传导速度改善有限。
(3)血管功能改善:
ω-3补充剂能显著改善糖尿病引起的血管舒张功能障碍;
EPA+DHA组合效果最佳,单独使用EPA效果较弱。
(4)干预时机:
无论是早期还是晚期干预,ω-3均能改善神经与血管功能,这说明ω-3兼具预防与治疗潜力。

四、讨论
1. 尽管ω-3在心血管疾病中的作用存在争议,但本研究展示出其对DPN的治疗和预防有正向作用,且EPA与DHA组合优于单独使用EPA。
2. 与鱼油相比,不同来源ω-3效果相似,因此藻油、磷虾油等非鱼油来源作为可持续替代品。
3. 机制探讨:ω-3可能通过改善血管功能、降低炎症与氧化应激、调节脂肪酸组成等途径发挥作用。
4. 研究局限性:藻油EPA来源不同、精炼程度不一;未探讨ω-3代谢物(如消退素)的作用。
【小TIPS:磷虾油在心血管养护中具有正向作用哦~】
五、结论
1. ω-3多不饱和脂肪酸是治疗糖尿病周围神经病变的有效手段,其来源不仅限于鱼油。
2. EPA与DHA组合使用效果优于单独使用,尤其对神经与血管功能改善更为全面。
3. 藻油、磷虾油及乙酯形式ω-3可作为鱼油的替代来源,具有可持续性与环境友好性。
文章来源:
Davidson, E., Obrosov, O., Coppey, L., & Yorek, M. (2025). Omega-3 Polyunsaturated Fatty Acids (PUFAs) and Diabetic Peripheral Neuropathy: A Pre-Clinical Study Examining the Effect of Omega-3 PUFAs from Fish Oil, Krill Oil, Algae or Pharmaceutical-Derived Ethyl Esters Using Type 2 Diabetic Rats. Biomedicines, 13(7), 1607.
https://doi.org/10.3390/biomedicines13071607